本文へスキップ

Effect of Coulomb interactions on the Seebeck coefficient of the organic Dirac electron system α-(BEDT-TTF)2I3

D. Ohki, Y. Omori, and A. Kobayashi, Phys. Rev. B 101, 245201 (2020).

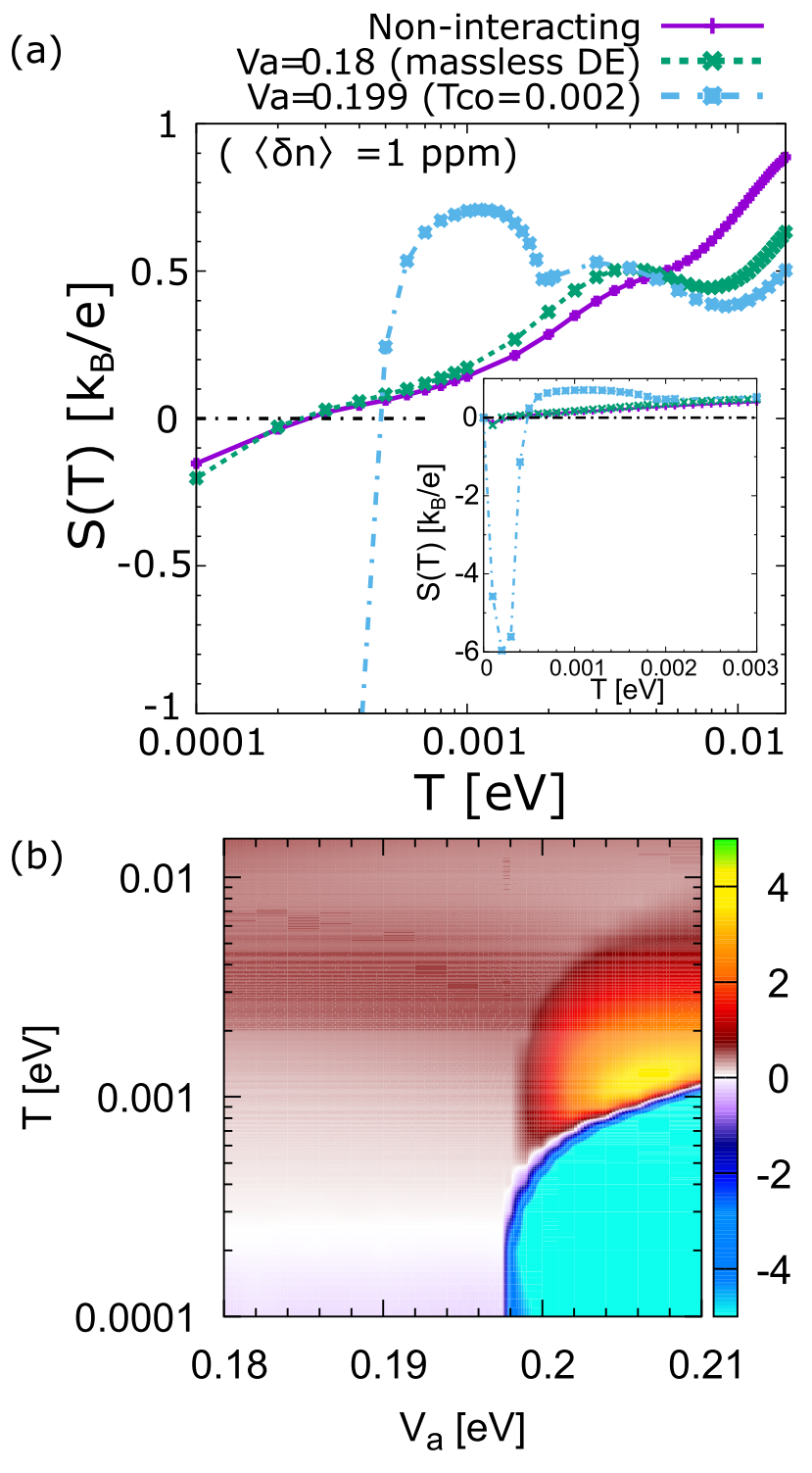
Motivated by the results of recent thermoelectric effect studies, we show the effects of Coulomb interactions on the Seebeck coefficient based on an extended Hubbard model that describes the electronic states of a slightly doped organic Dirac electron system, α-(BEDT-TTF)2I3. Our results indicate that the Hartree terms of the Coulomb interactions enhance the electron-hole asymmetry of the energy band structure and change the energy dependence of the relaxation time from impurity scattering, which reflects the shape of the density of states. Thus, the Seebeck coefficient exhibits a nonmonotonic T dependence which qualitatively agrees with the experimental results. Furthermore, we also show that the signs of the Seebeck coefficient and the Hall coefficient calculated by linear response theory do not necessarily correspond to the sign of the chemical potential using a modified Weyl model with electron-hole asymmetry. These results point out that changing the electron-hole asymmetry by strong Coulomb interaction has the potential to control the sign and value of the Seebeck coefficient in the Dirac electron systems.

(Click figure for a larger image.)