本文へスキップ

Self-energy driven resonancelike inelastic neutron spectrum in the s++-wave state in Fe-based superconductors

L. Takeuchi, Y. Yamakawa, and H. Kontani, Phys. Rev. B 98, 165143 (2018).

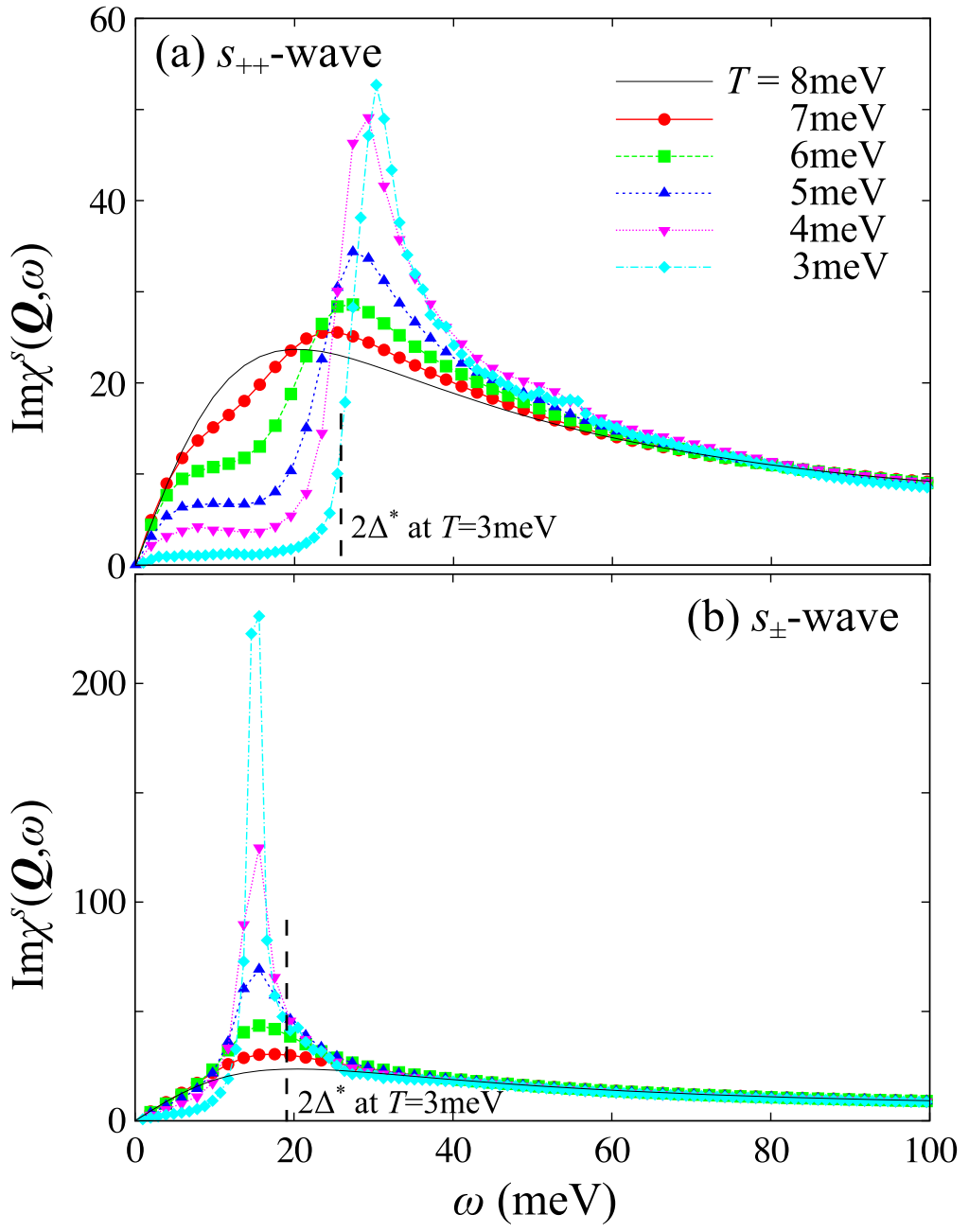
To elucidate the pairing states in Fe-based superconductors, we perform a careful calculation of the dynamical spin susceptibility χS(q,ω) at very low temperatures (T≳1meV). The feedback effect on both the self-energy and χS(q,ω) from the superconducting gap is self-consistently analyzed based on the fluctuation-exchange (FLEX) approximation. In the s±-wave state, which has sign reversal in the gap function, χS(q,ω) at the nesting momentum q=Q shows a resonance peak even when the system is away from the magnetic quantum critical point (QCP). In the s++-wave state that has no sign reversal, χS(q,ω) shows a large hump structure when the system is close to the magnetic QCP. This result confirms the validity of a self-energy driven resonancelike peak in the s++-wave state proposed in our previous semimicroscopic study: The enhancement in χS(q,ω) due to the self-energy effect exceeds the suppression due to the coherence factor effect near the magnetic QCP. We stress that the hump structure in the s++-wave state given by the FLEX method smoothly changes to a resonancelike sharp peak structure as the system approaches the magnetic QCP, which was not reported in our previous studies. The obtained ω and T dependence of χS(q,ω) in the s++-wave states resembles the resonancelike feature in inelastic neutron scattering spectra recently observed in Na(Fe,Co)As and FeSe.

(Click figure for a larger image.)