本文へスキップ

In-plane anisotropy of transport coefficients in electronic nematic states: Universal origin of nematicity in Fe-based superconductors

Seiichiro Onari and Hiroshi Kontani, Phys. Rev. B. 96, 094527 (2017).

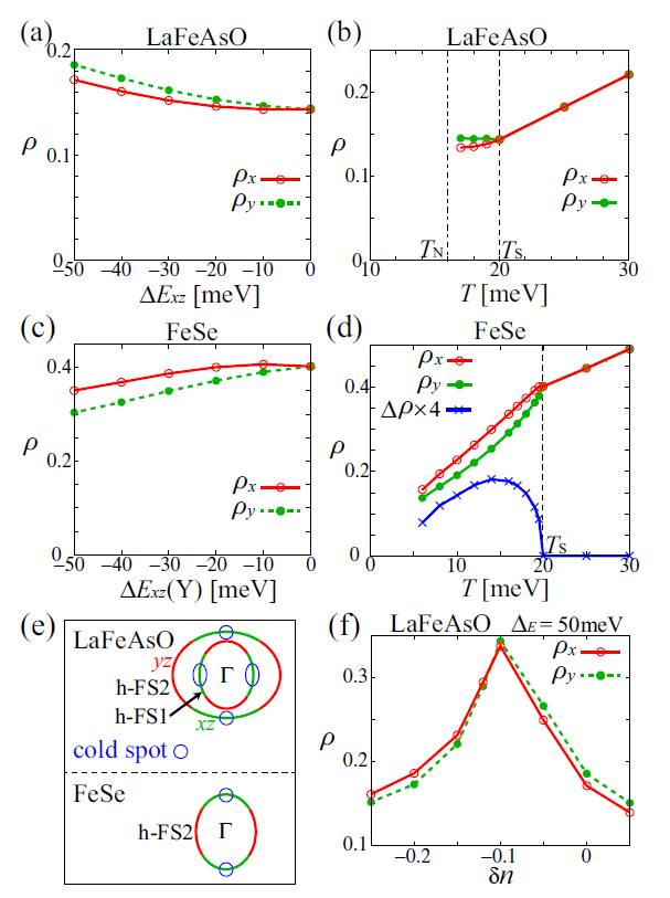
x>ρy holds, where ρx(y) is the resistivity along the longer (shorter) Fe-Fe axis. In contrast, the opposite anisotropy ρxy is realized in other undoped Fe-based superconductors. Such nontrivial material dependence is naturally explained in terms of the strongly orbital-dependent inelastic quasiparticle scattering realized in the orbital-ordered state. The opposite anisotropy between FeSe (ρxy) and other undoped compounds (ρxy) reflects the difference in the number of hole pockets. We also explain the large in-plane anisotropy of the thermoelectric power in the nematic state.

(Click figure for a larger image.)