本文へスキップ

Longitudinal Conductivity on Edge and Domain Wall Molecular Dirac Electron System α-(BEDT-TTF)2I3

Yukiko Omori, Genki Matsuno, and Akito Kobayashi, J. Phys. Soc. Jpn. 86, 074708 (2017).

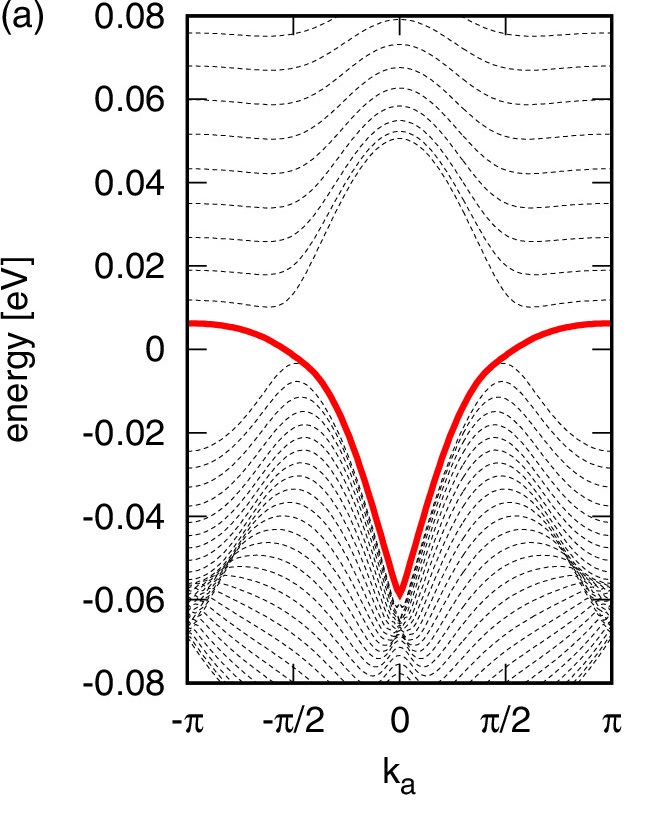
2I3, especially regarding an edge state and a bound one on a domain wall with different types of charge order. We investigate the extended Hubbard model, and show that the conductive edge state and the domain wall arise under a specific boundary condition. While the bound state on the domain wall remains metallic even as the charge order increases, the metallic edge state exists only near the phase transition point between the charge order and the massless Dirac fermion phases. The stability of the domain wall is also clarified. Since the actual crystal of α-(BEDT-TTF)2I3 consists of many layers, these theoretical results can describe recent transport experiments, which suggest that some metallic channels exist in the charge-ordered phase near the phase boundary.

(Click figure for a larger image.)