本文へスキップ

Observation of an anisotropic Dirac cone reshaping and ferrimagnetic spin polarization in an organic conductor

Michihiro Hirata, Kyohei Ishikawa, Kazuya Miyagawa, Masafumi Tamura, Claude Berthier, Denis Basko, Akito Kobayashi, Genki Matsuno, and Kazushi Kanoda, Nature Communications 7, 12666 (2016).

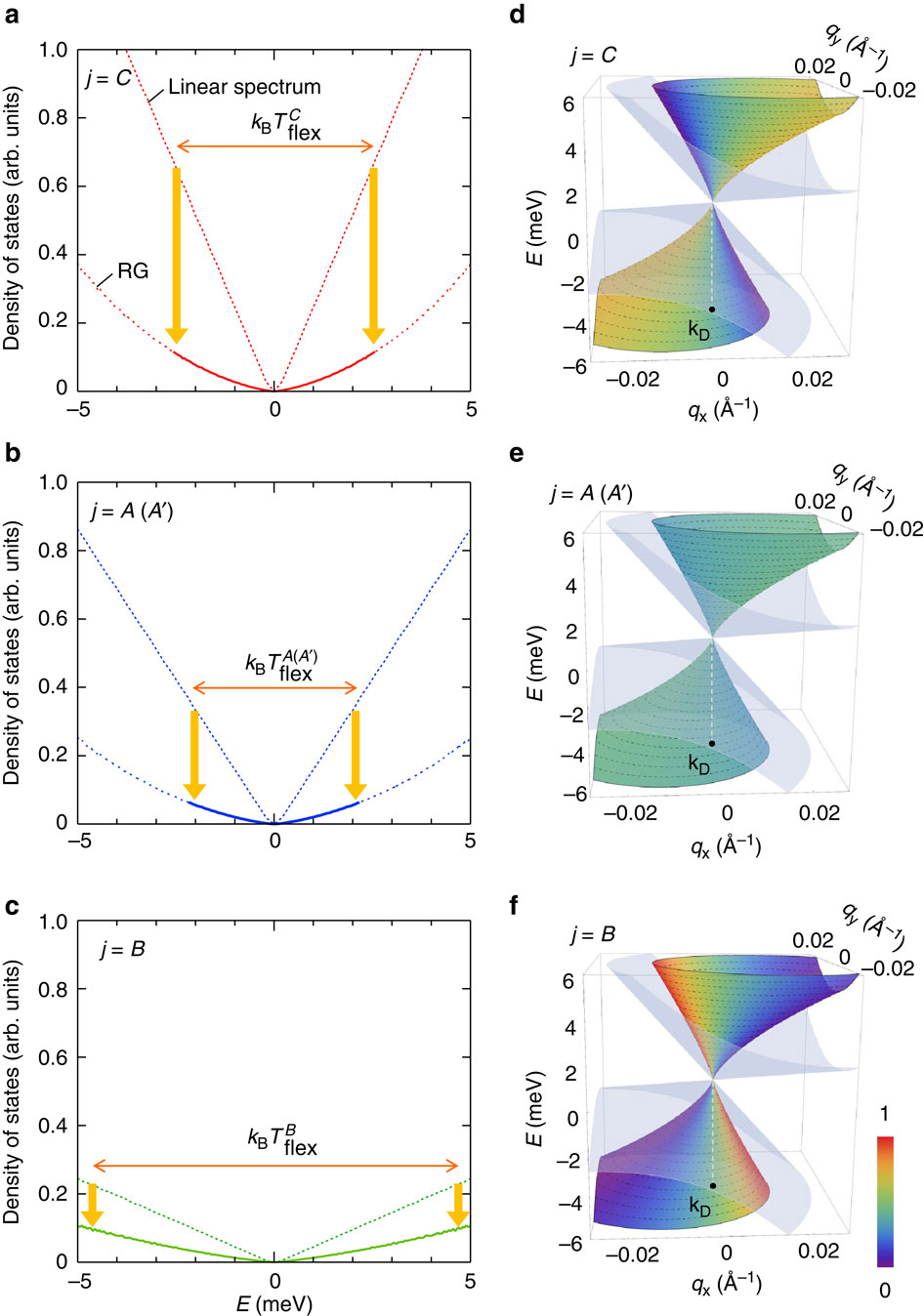
 The Coulomb interaction among massless Dirac fermions in graphene is unscreened around the isotropic Dirac points, causing a logarithmic velocity renormalization and a cone reshaping. In less symmetric Dirac materials possessing anisotropic cones with tilted axes, the Coulomb interaction can provide still more exotic phenomena, which have not been experimentally unveiled yet. Here, using site-selective nuclear magnetic resonance, we find a non-uniform cone reshaping accompanied by a bandwidth reduction and an emergent ferrimagnetism in tilted Dirac cones that appear on the verge of charge ordering in an organic compound. Our theoretical analyses based on the renormalization-group approach and the Hubbard model show that these observations are the direct consequences of the long-range and short-range parts of the Coulomb interaction, respectively. The cone reshaping and the bandwidth renormalization, as well as the magnetic behaviour revealed here, can be ubiquitous and vital for many Dirac materials.

(Click figure for a larger image.)