本文へスキップ

Low Carrier Density Metal Realized in Candidate Line-Node Dirac Semimetals CaAgP and CaAgAs

Y. Okamoto, T. Inohara, A. Yamakage, Y. Yamakawa, and K. Takenaka, J. Phys. Soc. Jpn. 85, 123701 (2016).

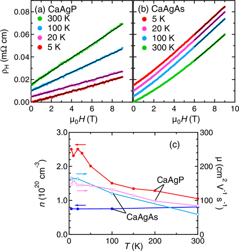
We study polycrystalline samples of the hexagonal pnictides, CaAgP and CaAgAs, both of which are ideal candidates for line-node Dirac semimetals. The polycrystalline samples of CaAgP and CaAgAs obtained in this study are low-carrier metals, where hole carriers are dominant. By combining the hole carrier densities estimated from Hall coefficients and the electronic structures calculated by first principles calculations, both samples are found to have a ring-torus Fermi surface, derived from a ring-shaped Dirac line node. In the phosphide sample, the Fermi energy EF is located at around the end of the linear dispersion region of the electronic bands, while the EF in the arsenide sample exists in the middle of this region, suggesting that the arsenide is a more promising system for uncovering the physics of line-node Dirac semimetals.

(Click figure for a larger image.)